如何将银行估值框架应用于比特币财库公司
作者:Andrej Antonijevic,
来源:Bitcoin Treasury,编译:Shaw 金色财经
简介
银行以各种形式存在已有数百年之久。其经营模式通常基于一个简单的经济机制:它们吸收存款,并利用这一资金基础提供诸如抵押**、企业**、支付服务和信贷便利等金融产品。资产收益与负债成本之间的差额构成了其盈利的基础。
由于这种商业模式普遍存在、受到监管且可衡量,资本市场已经开发出明确的银行估值方法。其中应用最广泛的方法之一是市净率(P/B)框架,它将银行的估值与其长期股本回报率、资本成本和可持续增长率直接联系起来。
进入二十一世纪,一种新型的资产负债表实体应运而生:比特币财库储备公司。这类机构发行以法定货币计价的资本(债务、优先股或股权),用于收购和持有比特币,将其作为长期资金管理策略的一部分,并将比特币视为一种资本资产。尽管基础资产不同,但其经济逻辑却**相似:银行和比特币财库公司都从事资本转换,因此都可以用相同的估值原则进行分析。
本文展示了银行使用的市净率框架如何直接应用于比特币财库公司,使投资者能够使用一种适用且连贯的分析方法来评估其价值。
银行估值框架
银行的市净率估值框架可以表述为:

其中:
ROE是银行的净资产回报率,
r是权益成本(投资者要求的回报率),
g是每股账面价值和股息的长期增长率。
如果一家银行的净资产收益恰好等于其权益成本(ROE=r),则其交易价格与账面价值持平。如果ROE高于权益成本,则其交易价格为溢价。如果ROE低于权益成本,则其交易价格为折价。
这种逻辑是市净率框架的基础,并构成了通向比特币财库公司的概念桥梁。
将市净率框架应用于比特币财库公司
比特币财库公司可以用同样的估值逻辑进行分析。它们的账面价值就是它们的净资产价值(NAV),即它们持有的比特币股权和现金权益。
一家比特币财库公司的股本回报率由三个部分组成:
以法币计价的比特币价格上涨
当以高于净资产值 (NAV) 的价格筹集新资金,或者当融资使公司能够比被动投资者更快地增加其每股比特币持有量时,即可实现每股比特币增值(BTC收益率)。
杠杆作用,即放大作用。
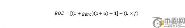
因此,相关的净资产收益率指标为:

其中:
g_BTC=比特币以法币计价的价格增长,
a=每股比特币增值(BTC收益率),
L=杠杆率(债务占总资产的百分比),
f=债务成本。
该表达式与银行净资产收益率(ROE)等式类似:经营收益减去融资成本,并根据资产负债表结构进行适当调整。
框架图示
为了展示该框架在实践中的运作方式(不以具体估计值为基准,仅用于说明目的),请考虑以下参数:
比特币价格上涨:15%
每股比特币增值(BTC收益率):5%
杠杆率:30%
债务成本:8%
比特币增值与每股收益增长的复合收益率:

偿还债务会减少这一比例:

给予:

可以使用资本资产定价模型 (CAPM) 方法估算权益成本,其中无风险利率为4%,市场风险溢价为4%。根据比特币财库公司的贝塔系数(例如,在2.0到3.0之间,并根据杠杆率进行调整),权益成本值将在12%到16%之间。
在这些示例性参数下:

假设长期货币贬值率(即通货**率)为g = 4%,结果大致落在资产净值的1.2倍至1.8倍之间。
这不是预测,而是对该方法的演示:估值直接反映ROE、权益成本和长期增长之间的关系,与银行的情况**一致。
为何这个类比成立
银行和比特币财库公司之间的分析对称性并非偶然。两者都依赖于资本转换:
银行将低收益存款转化为高收益**和金融资产。
比特币资金管理公司将法币资金转化为比特币敞口,利用资产负债表管理来增强每股比特币的长期积累。
无论哪种情况,价值创造都取决于机构维持高于其权益成本的持续净资产收益率 (ROE) 的能力。这种利差源于以下结构性优势:
资金优势(获得低成本资金)
风险管理和选择权优势(发行时机和结构),
特许经营和信任优势(有效吸引长期资本的能力)。
这些驱动因素决定了净资产收益率与利率之间的差距的大小和持续时间,从而决定了估值倍数是高于还是低于资产净值。
结论
市净率模型一直是银行估值的基石,因为它将估值与基础资本市场经济直接联系起来。同样的结构自然也适用于比特币财库公司:

这两类机构的盈利都依赖于其资本回报率与资本成本之间的利差。通过采用成熟的银行框架,投资者可以基于连贯、透明的视角分析比特币财库公司,从而了解资产负债表结构、发行纪律和比特币升值如何共同塑造其长期价值创造。
如果该框架适用于银行,那么它也同样适用于比特币财库公司,因为在这两种情况下,估值**都反映了资本转换的经济效益。
本文地址:https://licai.bestwheel.com.cn/qk/464034.html
文章标题:如何将银行估值框架应用于比特币财库公司
版权声明:本文内容由互联网用户自发贡献,该文观点仅代表作者本人。本站仅提供信息存储空间服务,不拥有所有权,不承担相关法律责任。




